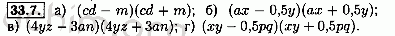
Номер 33.7 - Решебник по алгебре 7 класс Мордкович
Вы открыли задание номер 33.7 из решебника на uchim.org.
Другие номера:
← 32.6 32.7 32.8 32.9 32.10 32.11 32.12 32.13 32.14 32.15 32.16 32.17 32.18 32.19 32.20 32.21 32.22 32.22-2 32.33 33.1 33.2 33.3 33.4 33.5 33.6 33.7 33.8 33.9 33.10 33.11 33.12 33.13 33.14 33.15 33.16 33.17 33.18 33.19 33.20 33.21 33.22 33.23 33.24 33.25 33.26 33.27 33.28 33.29 33.30 33.31 33.32 →
(кликните по решению, если нужно изменить размер)

Введите номер задания:
Всё для учебы » ГДЗ бесплатно » » Номер 33.7 - Решебник по алгебре 7 класс Мордкович