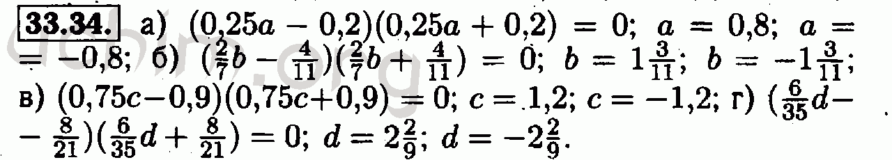
Номер 33.34 - Решебник по алгебре 7 класс Мордкович
Вы открыли задание номер 33.34 из решебника на uchim.org.
Другие номера:
← 33.9 33.10 33.11 33.12 33.13 33.14 33.15 33.16 33.17 33.18 33.19 33.20 33.21 33.22 33.23 33.24 33.25 33.26 33.27 33.28 33.29 33.30 33.31 33.32 33.33 33.34 33.35 33.36 33.37 33.38 33.39 33.40 33.41 33.42 33.43 33.44 33.45 33.46 33.47 33.48 33.49 33.50 33.51 33.52 33.53 34-1 34-2 34-3 34-4 34-5 34-6 →
(кликните по решению, если нужно изменить размер)

Открыть номер 33.34 с телефона
Введите номер задания:
Всё для учебы » ГДЗ бесплатно » » Номер 33.34 - Решебник по алгебре 7 класс Мордкович