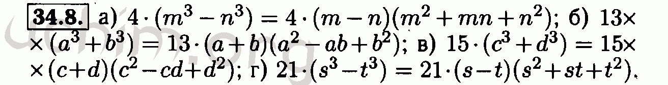
Номер 34-8 - Решебник по алгебре 7 класс Мордкович
Вы открыли задание номер 34-8 из решебника на uchim.org.
Другие номера:
← 33.36 33.37 33.38 33.39 33.40 33.41 33.42 33.43 33.44 33.45 33.46 33.47 33.48 33.49 33.50 33.51 33.52 33.53 34-1 34-2 34-3 34-4 34-5 34-6 34-7 34-8 34-9 34-10 34-11 34-12 34-13 34-14 34-15 34-16 34-17 34-18 34-19 34-20 34-21 34-23 34-24 34-25 34-26 34-27 34-28 34-29 35.1 35.2 35.3 35.4 35.5 →
(кликните по решению, если нужно изменить размер)

Введите номер задания:
Всё для учебы » ГДЗ бесплатно » » Номер 34-8 - Решебник по алгебре 7 класс Мордкович