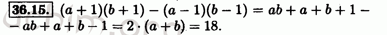
Номер 36.15 - Решебник по алгебре 7 класс Мордкович
Вы открыли задание номер 36.15 из решебника на uchim.org.
Другие номера:
← 35.32 35.33 35.34 35.35 35.36 35.37 35.38 35.39 35.40 35.41 35.42 36.1 36.2 36.3 36.4 36.5 36.6 36.7 36.8 36.9 36.10 36.11 36.12 36.13 36.14 36.15 36.16 36.17 36.18 36.19 Вариант №1 Вариант №2 37.1 37.2 37.3 37.4 37.5 37.6 37.7 37.8 37.9 37.10 37.11 37.12 37.13 37.14 37.15 37.16 37.17 37.18 37.19 →
(кликните по решению, если нужно изменить размер)

Открыть номер 36.15 с телефона
Введите номер задания:
Всё для учебы » ГДЗ бесплатно » » Номер 36.15 - Решебник по алгебре 7 класс Мордкович