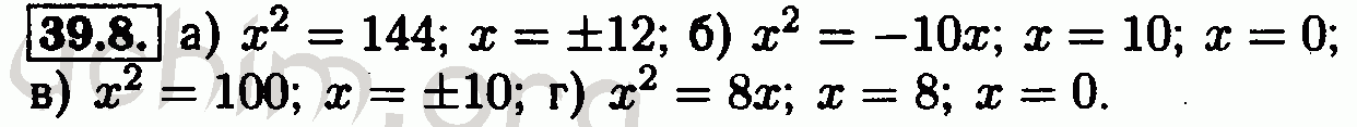
Номер 39.8 - Решебник по алгебре 7 класс Мордкович
Вы открыли задание номер 39.8 из решебника на uchim.org.
Другие номера:
← 37.55 37.56 38.1 38.2 38.3 38.4 38.5 38.6 38.7 38.8 38.9 38.10 38.11 38.12 38.13 38.14 38.15 38.16 39.1 39.2 39.3 39.4 39.5 39.6 39.7 39.8 39.9 39.10 39.11 39.12 39.13 39.14 39.15 39.16 39.17 39.18 39.19 39.20 39.21 39.22 39.23 39.24 39.25 39.26 39.27 39.28 39.29 39.30 39.31 39.32 39.33 →
(кликните по решению, если нужно изменить размер)

Введите номер задания:
Всё для учебы » ГДЗ бесплатно » » Номер 39.8 - Решебник по алгебре 7 класс Мордкович