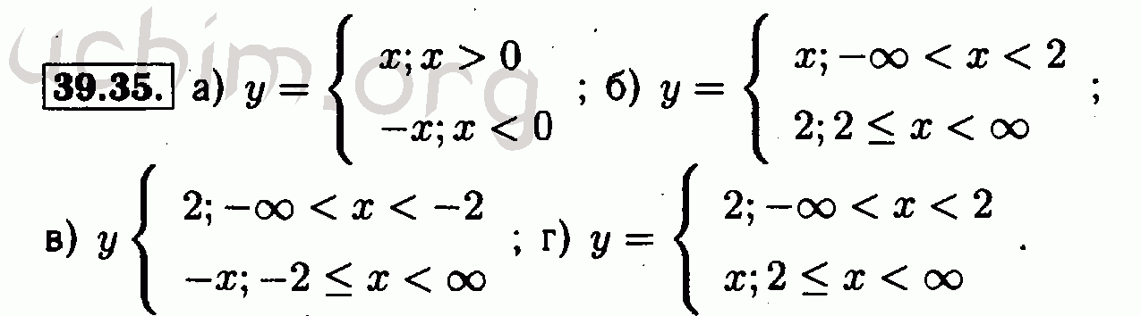
Номер 39.35 - Решебник по алгебре 7 класс Мордкович
Вы открыли задание номер 39.35 из решебника на uchim.org.
Другие номера:
← 39.10 39.11 39.12 39.13 39.14 39.15 39.16 39.17 39.18 39.19 39.20 39.21 39.22 39.23 39.24 39.25 39.26 39.27 39.28 39.29 39.30 39.31 39.32 39.33 39.34 39.35 39.36 39.37 39.38 39.39 39.40 39.41 39.42 39.43 39.44 39.45 39.46 39.47 39.48 1 2 3 4 5 6 7 8 9 10 11 12 →
(кликните по решению, если нужно изменить размер)

Открыть номер 39.35 с телефона
Введите номер задания:
Всё для учебы » ГДЗ бесплатно » » Номер 39.35 - Решебник по алгебре 7 класс Мордкович