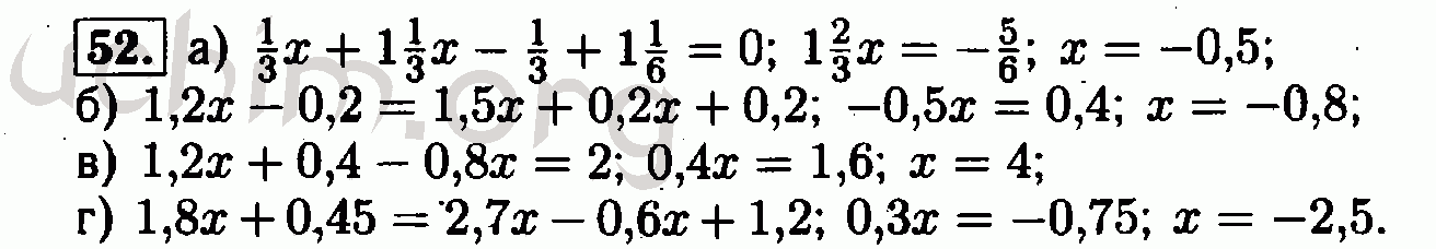
Номер 52 - Решебник по алгебре 7 класс Мордкович
Вы открыли задание номер 52 из решебника на uchim.org.
Другие номера:
← 27 28 29 30 31 32 33 34 35 36 37 38 39 40 41 42 43 44 45 46 47 48 49 50 51 52 53 54 55 56 57 58 59 60 61 62 63 64 65 66 67 68 69 70 71 72 73 74 75 76 77 →
(кликните по решению, если нужно изменить размер)

Введите номер задания:
Всё для учебы » ГДЗ бесплатно » » Номер 52 - Решебник по алгебре 7 класс Мордкович