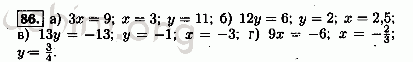
Номер 86 - Решебник по алгебре 7 класс Мордкович
Вы открыли задание номер 86 из решебника на uchim.org.
Другие номера:
← 61 62 63 64 65 66 67 68 69 70 71 72 73 74 75 76 77 78 79 80 81 82 83 84 85 86 87 88 89 107 108 109 110 111 112 113 114 115 116 117 118 119 120 121 122 123 124 125 126 127 128 →
(кликните по решению, если нужно изменить размер)

Введите номер задания:
Всё для учебы » ГДЗ бесплатно » » Номер 86 - Решебник по алгебре 7 класс Мордкович