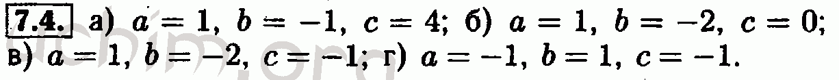
Номер 7.4 - Решебник по алгебре 7 класс Мордкович
Вы открыли задание номер 7.4 из решебника на uchim.org.
Другие номера:
← 6.26 6.27 6.28 6.29 6.30 6.31 6.32 6.33 6.34 6.35 6.36 6.37 6.38 6.38-2 6.39 6.39-2 6.40 6.40-2 6.41 6.42 6.43 6.44 7.1 7.2 7.3 7.4 7.5 7.6 7.7 7.8 7.9 7.10 7.11 7.12 7.13 7.14 7.15 7.16 7.17 7.18 7.19 7.20 7.21 7.22 7.23 7.24 7.25 7.26 7.27 7.28 7.29 →
(кликните по решению, если нужно изменить размер)

Введите номер задания:
Всё для учебы » ГДЗ бесплатно » » Номер 7.4 - Решебник по алгебре 7 класс Мордкович