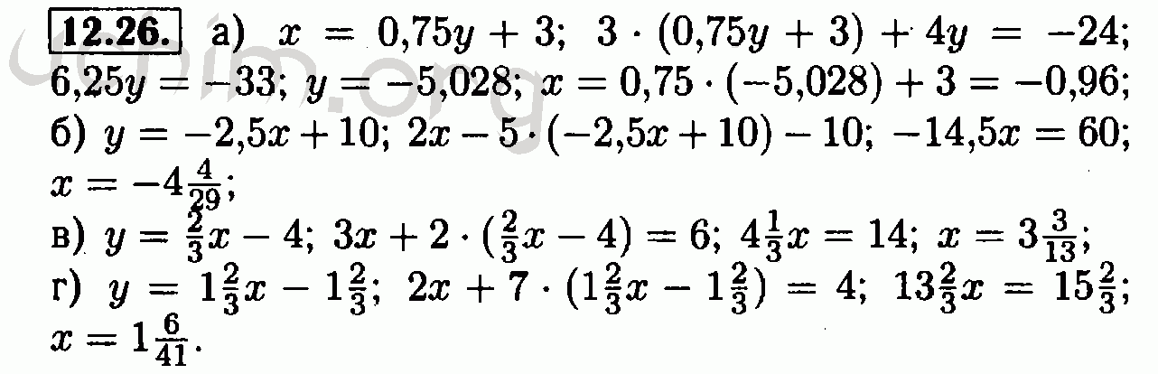
Номер 12.26 - Решебник по алгебре 7 класс Мордкович
Вы открыли задание номер 12.26 из решебника на uchim.org.
Другие номера:
← 12.1 12.2 12.3 12.4 12.5 12.6 12.7 12.8 12.9 12.10 12.11 12.12 12.13 12.14 12.15 12.16 12.17 12.18 12.19 12.20 12.21 12.22 12.23 12.24 12.25 12.26 12.27 12.28 12.29 13.1 13.2 13.3 13.4 13.5 13.6 13.7 13.8 13.9 13.10 13.11 13.12 13.13 13.14 13.15 13.16 13.17 13.18 14.1 14.2 14.3 14.4 →
(кликните по решению, если нужно изменить размер)

Открыть номер 12.26 с телефона
Введите номер задания:
Всё для учебы » ГДЗ бесплатно » » Номер 12.26 - Решебник по алгебре 7 класс Мордкович