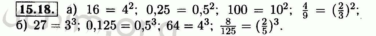
Номер 15.18 - Решебник по алгебре 7 класс Мордкович
Вы открыли задание номер 15.18 из решебника на uchim.org.
Другие номера:
← 14.33 14.34 14.35 14.36 14.37 14.38 Вариант №1 Вариант №2 15.1 15.2 15.3 15.4 15.5 15.6 15.7 15.8 15.9 15.10 15.11 15.12 15.13 15.14 15.15 15.16 15.17 15.18 15.19 15.20 15.21 15.22 15.23 15.24 15.25 15.26 15.27 15.28 15.29 15.30 15.31 15.32 15.33 15.34 15.35 15.36 15.37 16.1 16.2 16.3 16.4 16.5 16.6 →
(кликните по решению, если нужно изменить размер)

Открыть номер 15.18 с телефона
Введите номер задания:
Всё для учебы » ГДЗ бесплатно » » Номер 15.18 - Решебник по алгебре 7 класс Мордкович