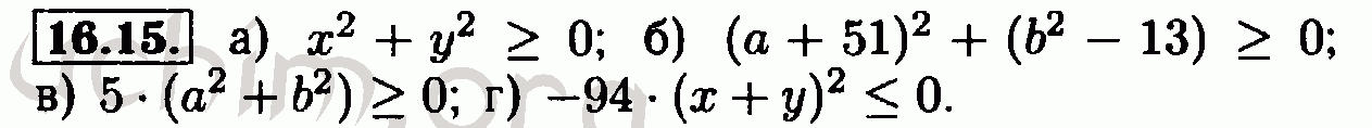
Номер 16.15 - Решебник по алгебре 7 класс Мордкович
Вы открыли задание номер 16.15 из решебника на uchim.org.
Другие номера:
← 15.27 15.28 15.29 15.30 15.31 15.32 15.33 15.34 15.35 15.36 15.37 16.1 16.2 16.3 16.4 16.5 16.6 16.7 16.8 16.9 16.10 16.11 16.12 16.13 16.14 16.15 16.16 16.17 16.18 16.19 16.20 16.21 16.22 16.23 16.24 16.25 16.26 17.1 17.2 17.3 17.4 17.5 17.6 17.7 17.8 17.9 17.10 17.11 17.12 17.13 17.14 →
(кликните по решению, если нужно изменить размер)

Открыть номер 16.15 с телефона
Введите номер задания:
Всё для учебы » ГДЗ бесплатно » » Номер 16.15 - Решебник по алгебре 7 класс Мордкович