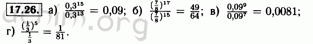
Номер 17.26 - Решебник по алгебре 7 класс Мордкович
Вы открыли задание номер 17.26 из решебника на uchim.org.
Другие номера:
← 17.2 17.3 17.4 17.5 17.6 17.7 17.8 17.9 17.10 17.11 17.12 17.13 17.14 17.15 17.16 17.17 17.18 17.19 17.20 17.21 17.22 17.22 17.23 17.24 17.25 17.26 17.27 17.28 17.29 17.30 17.31 17.32 17.33 17.34 17.35 17.36 17.37 17.38 17.39 17.40 17.41 17.42 18.1 18.2 18.3 18.4 18.5 18.6 18.7 18.8 18.9 →
(кликните по решению, если нужно изменить размер)

Открыть номер 17.26 с телефона
Введите номер задания:
Всё для учебы » ГДЗ бесплатно » » Номер 17.26 - Решебник по алгебре 7 класс Мордкович