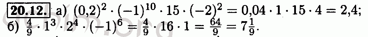
Номер 20.12 - Решебник по алгебре 7 класс Мордкович
Вы открыли задание номер 20.12 из решебника на uchim.org.
Другие номера:
← 19.1 19.2 19.3 19.4 19.5 19.6 19.7 19.8 19.9 19.10 19.11 19.12 Вариант №1 Вариант №2 20.1 20.2 20.3 20.4 20.5 20.6 20.7 20.8 20.9 20.10 20.11 20.12 20.13 20.14 20.15 20.16 20.17 20.18 20.19 21.1 21.2 21.3 21.4 21.5 21.6 21.7 21.8 21.9 21.10 21.11 21.12 21.13 21.14 21.15 21.16 21.17 21.18 →
(кликните по решению, если нужно изменить размер)

Открыть номер 20.12 с телефона
Введите номер задания:
Всё для учебы » ГДЗ бесплатно » » Номер 20.12 - Решебник по алгебре 7 класс Мордкович