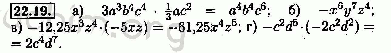
Номер 22.19 - Решебник по алгебре 7 класс Мордкович
Вы открыли задание номер 22.19 из решебника на uchim.org.
Другие номера:
← 21.35 21.36 21.37 21.38 21.39 21.40 21.41 22.1 22.2 22.3 22.4 22.5 22.6 22.7 22.8 22.9 22.10 22.11 22.12 22.13 22.14 22.15 22.16 22.17 22.18 22.19 22.20 22.21 22.22 22.23 22.24 22.25 22.26 22.27 22.28 22.29 22.30 22.31 22.32 22.33 22.34 23.1 23.2 23.3 23.4 23.5 23.6 23.7 23.8 23.9 23.10 →
(кликните по решению, если нужно изменить размер)

Открыть номер 22.19 с телефона
Введите номер задания:
Всё для учебы » ГДЗ бесплатно » » Номер 22.19 - Решебник по алгебре 7 класс Мордкович