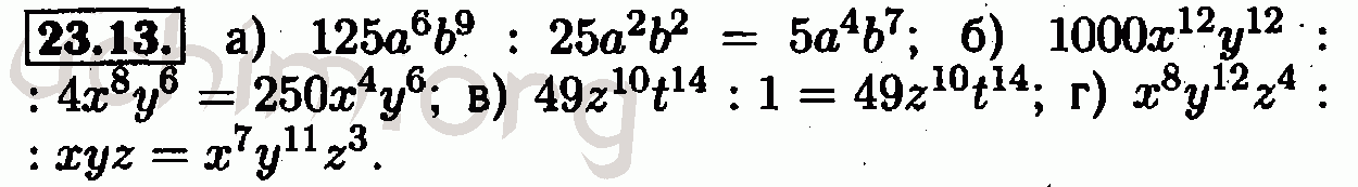
Номер 23.13 - Решебник по алгебре 7 класс Мордкович
Вы открыли задание номер 23.13 из решебника на uchim.org.
Другие номера:
← 22.22 22.23 22.24 22.25 22.26 22.27 22.28 22.29 22.30 22.31 22.32 22.33 22.34 23.1 23.2 23.3 23.4 23.5 23.6 23.7 23.8 23.9 23.10 23.11 23.12 23.13 23.14 23.15 23.16 23.17 23.18 23.19 Вариант №1 Вариант №2 24.1 24.2 24.3 24.4 24.5 24.6 24.7 24.8 24.9 24.10 24.11 24.12 24.13 24.14 24.15 24.16 24.17 →
(кликните по решению, если нужно изменить размер)

Открыть номер 23.13 с телефона
Введите номер задания:
Всё для учебы » ГДЗ бесплатно » » Номер 23.13 - Решебник по алгебре 7 класс Мордкович