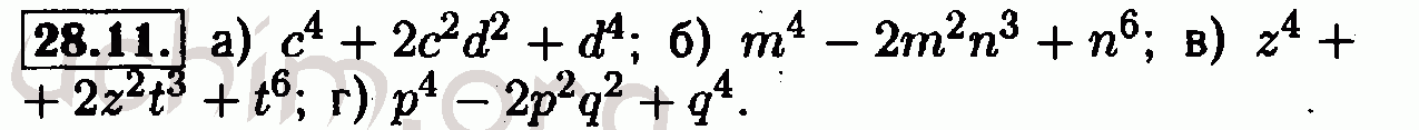
Номер 28.11 - Решебник по алгебре 7 класс Мордкович
Вы открыли задание номер 28.11 из решебника на uchim.org.
Другие номера:
← 27.12 27.13 27.14 27.15 27.16 27.17 27.18 27.19 27.20 27.21 27.22 27.23 27.24 27.25 27.26 27.27 28.1 28.3 28.4 28.5 28.6 28.7 28.8 28.9 28.10 28.11 28.12 28.13 28.14 28.15 28.16 28.17 28.18 28.19 28.20 28.21 28.22 28.23 28.24 28.25 28.26 28.27 28.28 28.29 28.30 28.31 28.32 28.33 28.34 28.35 28.36 →
(кликните по решению, если нужно изменить размер)

Открыть номер 28.11 с телефона
Введите номер задания:
Всё для учебы » ГДЗ бесплатно » » Номер 28.11 - Решебник по алгебре 7 класс Мордкович