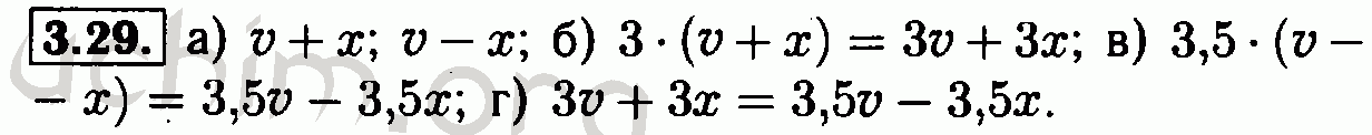
Номер 3.29 - Решебник по алгебре 7 класс Мордкович
Вы открыли задание номер 3.29 из решебника на uchim.org.
Другие номера:
← 3.4 3.5 3.6 3.7 3.8 3.9 3.10 3.11 3.12 3.13 3.14 3.15 3.16 3.17 3.18 3.19 3.20 3.21 3.22 3.23 3.24 3.25 3.26 3.27 3.28 3.29 3.30 3.31 3.32 3.33 3.34 3.35 3.36 3.37 3.38 3.39 3.40 3.41 3.42 3.43 3.44 3.45 3.46 3.47 4.1 4.2 4.3 4.4 4.5 4.6 4.7 →
(кликните по решению, если нужно изменить размер)

Введите номер задания:
Всё для учебы » ГДЗ бесплатно » » Номер 3.29 - Решебник по алгебре 7 класс Мордкович