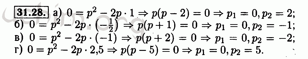
Номер 31.28 - Решебник по алгебре 7 класс Мордкович
Вы открыли задание номер 31.28 из решебника на uchim.org.
Другие номера:
← 31.3 31.4 31.5 31.6 31.7 31.8 31.9 31.10 31.11 31.12 31.13 31.14 31.15 31.16 31.17 31.18 31.19 31.20 31.21 31.22 31.23 31.24 31.25 31.26 31.27 31.28 32.1 32.2 32.3 32.4 32.5 32.6 32.7 32.8 32.9 32.10 32.11 32.12 32.13 32.14 32.15 32.16 32.17 32.18 32.19 32.20 32.21 32.22 32.22-2 32.33 33.1 →
(кликните по решению, если нужно изменить размер)

Открыть номер 31.28 с телефона
Введите номер задания:
Всё для учебы » ГДЗ бесплатно » » Номер 31.28 - Решебник по алгебре 7 класс Мордкович