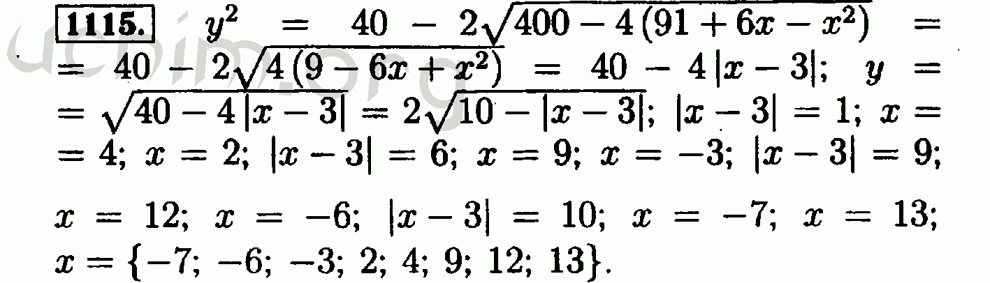
Номер 1115 - Решебник по алгебре 8 класс Макарычев
Вы открыли задание номер 1115 из решебника на uchim.org.
Другие номера:
← 1089 1090 1091 1092 1093 1094 1095 1096 1097 1098 1099 1100 1101 1102 1103 1104 1106 1107 1108 1109 1110 1111 1112 1113 1114 1115 1116 1117 1118 1119 1120 1121 1122 1123 1126 1127 1129 1130 1131 1132 1133 1134 1135 1136 1137 1138 1139 1140 1141 1142 1143 →
(кликните по решению, если нужно изменить размер)

Введите номер задания:
Всё для учебы » ГДЗ бесплатно » » Номер 1115 - Решебник по алгебре 8 класс Макарычев