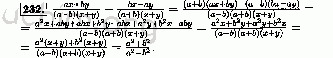
Номер 232 - Решебник по алгебре 8 класс Макарычев
Вы открыли задание номер 232 из решебника на uchim.org.
Другие номера:
← 207 208 209 210 211 212 213 214 215 216 217 218 219 220 221 222 223 224 225 226 227 228 229 230 231 232 233 234 235 236 237 238 239 240 241 242 243 244 245 246 247 248 249 250 251 252 253 254 255 256 257 →
(кликните по решению, если нужно изменить размер)

Введите номер задания:
Всё для учебы » ГДЗ бесплатно » » Номер 232 - Решебник по алгебре 8 класс Макарычев