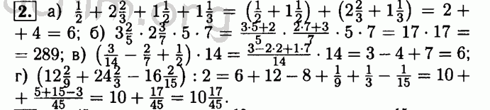
Номер 2 - Решебник по алгебре 8 класс Мордкович
Вы открыли задание номер 2 из решебника на uchim.org.
Другие номера:
← 1 2 3 4 5 6 7 8 9 10 11 12 13 14 15 16 17 18 19 20 21 22 23 24 25 26 27 →
(кликните по решению, если нужно изменить размер)

Введите номер задания:
Всё для учебы » ГДЗ бесплатно » » Номер 2 - Решебник по алгебре 8 класс Мордкович