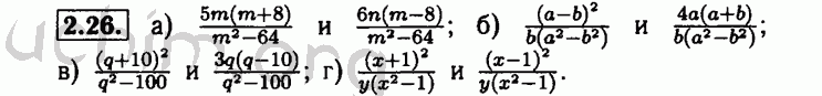
Номер 2.26 - Решебник по алгебре 8 класс Мордкович
Вы открыли задание номер 2.26 из решебника на uchim.org.
Другие номера:
← 2.1 2.2 2.3 2.4 2.5 2.6 2.7 2.8 2.9 2.10 2.11 2.12 2.13 2.14 2.15 2.16 2.17 2.18 2.19 2.20 2.21 2.22 2.23 2.24 2.25 2.26 2.27 2.28 2.29 2.30 2.31 2.32 2.33 2.34 2.35 2.36 2.37 2.38 2.39 2.40 2.41 2.42 2.43 2.44 2.45 2.46 3.1 3.2 3.3 3.4 3.5 →
(кликните по решению, если нужно изменить размер)

Введите номер задания:
Всё для учебы » ГДЗ бесплатно » » Номер 2.26 - Решебник по алгебре 8 класс Мордкович