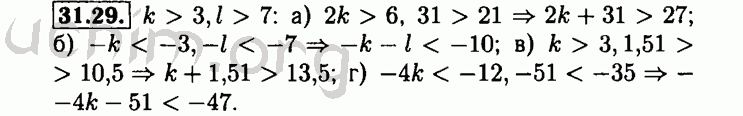
Номер 31.29 - Решебник по алгебре 8 класс Мордкович
Вы открыли задание номер 31.29 из решебника на uchim.org.
Другие номера:
← 31.4 31.5 31.6 31.7 31.8 31.9 31.10 31.11 31.12 31.13 31.14 31.15 31.16 31.17 31.18 31.19 31.20 31.21 31.22 31.23 31.24 31.25 31.26 31.27 31.28 31.29 31.30 31.31 31.32 31.33 31.34 31.35 31.36 31.37 31.38 31.39 31.40 31.41 31.42 31.43 31.44 31.45 31.46 31.47 31.48 31.49 31.50 31.51 31.52 31.53 31.54 →
(кликните по решению, если нужно изменить размер)

Открыть номер 31.29 с телефона
Введите номер задания:
Всё для учебы » ГДЗ бесплатно » » Номер 31.29 - Решебник по алгебре 8 класс Мордкович