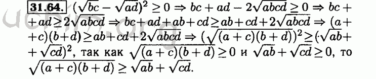
Номер 31.64 - Решебник по алгебре 8 класс Мордкович
Вы открыли задание номер 31.64 из решебника на uchim.org.
Другие номера:
← 31.39 31.40 31.41 31.42 31.43 31.44 31.45 31.46 31.47 31.48 31.49 31.50 31.51 31.52 31.53 31.54 31.55 31.56 31.57 31.58 31.59 31.60 31.61 31.62 31.63 31.64 31.65 32.1 32.2 32.3 32.4 32.5 32.6 32.7 32.8 32.9 32.10 32.11 32.12 32.13 32.14 33.1 33.2 33.3 33.4 33.5 33.6 33.7 33.8 33.9 33.10 →
(кликните по решению, если нужно изменить размер)

Открыть номер 31.64 с телефона
Введите номер задания:
Всё для учебы » ГДЗ бесплатно » » Номер 31.64 - Решебник по алгебре 8 класс Мордкович