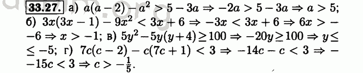
Номер 33.27 - Решебник по алгебре 8 класс Мордкович
Вы открыли задание номер 33.27 из решебника на uchim.org.
Другие номера:
← 33.2 33.3 33.4 33.5 33.6 33.7 33.8 33.9 33.10 33.11 33.12 33.13 33.14 33.15 33.16 33.17 33.18 33.19 33.20 33.21 33.22 33.23 33.24 33.25 33.26 33.27 33.28 33.29 33.30 33.31 33.32 33.33 33.34 33.35 33.36 33.37 33.38 34.1 34.2 34.3 34.4 34.5 34.6 34.7 34.8 34.9 34.10 34.11 34.12 34.13 34.14 →
(кликните по решению, если нужно изменить размер)

Открыть номер 33.27 с телефона
Введите номер задания:
Всё для учебы » ГДЗ бесплатно » » Номер 33.27 - Решебник по алгебре 8 класс Мордкович