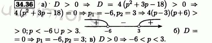
Номер 34.36 - Решебник по алгебре 8 класс Мордкович
Вы открыли задание номер 34.36 из решебника на uchim.org.
Другие номера:
← 34.11 34.12 34.13 34.14 34.15 34.16 34.17 34.18 34.19 34.20 34.21 34.22 34.23 34.24 34.25 34.26 34.27 34.28 34.29 34.30 34.31 34.32 34.33 34.34 34.35 34.36 34.37 34.38 34.39 34.40 34.41 34.42 34.43 34.44 34.45 34.46 35.1 35.2 35.3 35.4 35.5 35.6 35.7 35.8 35.9 35.10 35.12 36.1 36.2 36.3 36.4 →
(кликните по решению, если нужно изменить размер)

Открыть номер 34.36 с телефона
Введите номер задания:
Всё для учебы » ГДЗ бесплатно » » Номер 34.36 - Решебник по алгебре 8 класс Мордкович