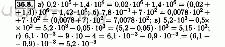
Номер 36.8 - Решебник по алгебре 8 класс Мордкович
Вы открыли задание номер 36.8 из решебника на uchim.org.
Другие номера:
← 34.40 34.41 34.42 34.43 34.44 34.45 34.46 35.1 35.2 35.3 35.4 35.5 35.6 35.7 35.8 35.9 35.10 35.12 36.1 36.2 36.3 36.4 36.5 36.6 36.7 36.8 36.9 36.10 36.11 36.12 36.13 36.14 36.15 36.16 36.17 36.18 36.19 Вариант №1 Вариант №2 1 2 3 4 5 6 7 8 9 10 11 12 →
(кликните по решению, если нужно изменить размер)

Введите номер задания:
Всё для учебы » ГДЗ бесплатно » » Номер 36.8 - Решебник по алгебре 8 класс Мордкович