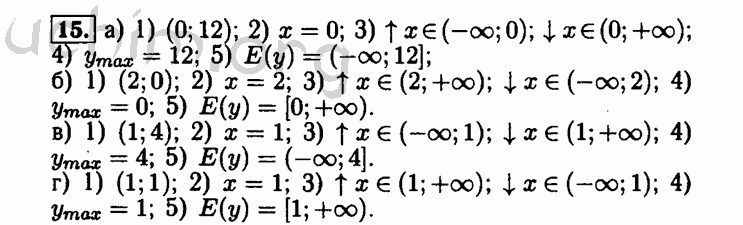
Номер 15 - Решебник по алгебре 8 класс Мордкович
Вы открыли задание номер 15 из решебника на uchim.org.
Другие номера:
← 36.11 36.12 36.13 36.14 36.15 36.16 36.17 36.18 36.19 Вариант №1 Вариант №2 1 2 3 4 5 6 7 8 9 10 11 12 13 14 15 16 17 18 19 20 21 22 23 24 25 26 27 28 29 30 31 32 33 34 35 36 37 38 39 40 →
(кликните по решению, если нужно изменить размер)

Введите номер задания:
Всё для учебы » ГДЗ бесплатно » » Номер 15 - Решебник по алгебре 8 класс Мордкович