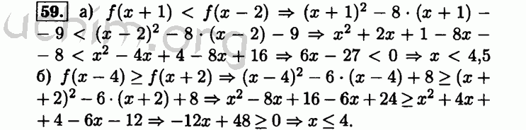
Номер 59 - Решебник по алгебре 8 класс Мордкович
Вы открыли задание номер 59 из решебника на uchim.org.
Другие номера:
← 34 35 36 37 38 39 40 41 42 43 44 45 46 47 48 49 50 51 52 53 54 55 56 57 58 59 60 61 62 63 64 65 66 67 68 69 70 71 72 73 74 75 76 77 78 79 80 81 82 83 84 →
(кликните по решению, если нужно изменить размер)

Введите номер задания:
Всё для учебы » ГДЗ бесплатно » » Номер 59 - Решебник по алгебре 8 класс Мордкович