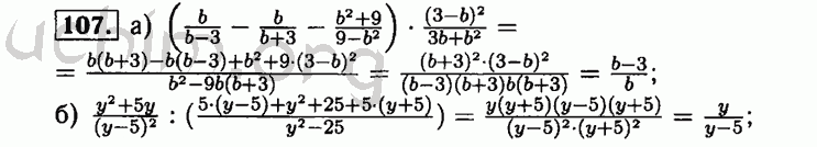
Номер 107 - Решебник по алгебре 8 класс Мордкович
Вы открыли задание номер 107 из решебника на uchim.org.
Другие номера:
← 82 83 84 85 86 87 88 89 90 91 92 93 94 95 96 97 98 99 100 101 102 103 104 105 106 107 108 109 110 111 112 113 114 115 116 117 118 119 120 121 122 123 124 125 126 127 128 129 130 131 132 →
(кликните по решению, если нужно изменить размер)

Введите номер задания:
Всё для учебы » ГДЗ бесплатно » » Номер 107 - Решебник по алгебре 8 класс Мордкович