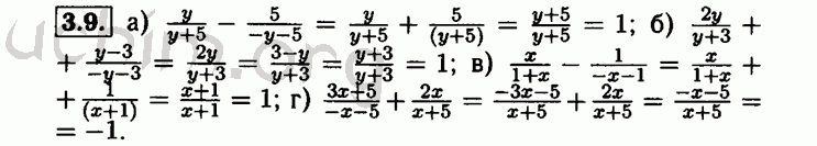
Номер 3.9 - Решебник по алгебре 8 класс Мордкович
Вы открыли задание номер 3.9 из решебника на uchim.org.
Другие номера:
← 2.30 2.31 2.32 2.33 2.34 2.35 2.36 2.37 2.38 2.39 2.40 2.41 2.42 2.43 2.44 2.45 2.46 3.1 3.2 3.3 3.4 3.5 3.6 3.7 3.8 3.9 3.10 3.11 3.12 3.13 3.14 3.15 3.16 3.17 3.18 3.19 3.20 3.21 3.22 3.23 3.24 3.25 3.26 3.27 3.28 3.29 4.1 4.2 4.3 4.4 4.5 →
(кликните по решению, если нужно изменить размер)

Введите номер задания:
Всё для учебы » ГДЗ бесплатно » » Номер 3.9 - Решебник по алгебре 8 класс Мордкович