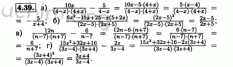
Номер 4.39 - Решебник по алгебре 8 класс Мордкович
Вы открыли задание номер 4.39 из решебника на uchim.org.
Другие номера:
← 4.14 4.15 4.16 4.17 4.18 4.19 4.20 4.21 4.22 4.23 4.24 4.25 4.26 4.27 4.28 4.29 4.30 4.31 4.32 4.33 4.34 4.35 4.36 4.37 4.38 4.39 4.40 4.41 4.42 4.43 4.44 4.45 4.46 4.47 4.48 4.49 4.50 4.51 4.52 4.53 4.54 4.55 4.56 5.1 5.2 5.3 5.4 5.5 5.6 5.7 5.8 →
(кликните по решению, если нужно изменить размер)

Введите номер задания:
Всё для учебы » ГДЗ бесплатно » » Номер 4.39 - Решебник по алгебре 8 класс Мордкович