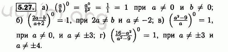
Номер 5.27 - Решебник по алгебре 8 класс Мордкович
Вы открыли задание номер 5.27 из решебника на uchim.org.
Другие номера:
← 5.2 5.3 5.4 5.5 5.6 5.7 5.8 5.9 5.10 5.11 5.12 5.13 5.14 5.15 5.16 5.17 5.18 5.19 5.20 5.21 5.22 5.23 5.24 5.25 5.26 5.27 5.28 5.29 5.30 5.31 5.32 5.33 5.34 5.35 5.36 5.37 5.38 5.39 5.40 5.41 5.42 5.43 5.44 5.45 5.46 6.1 6.2 6.3 6.4 6.5 6.6 →
(кликните по решению, если нужно изменить размер)

Введите номер задания:
Всё для учебы » ГДЗ бесплатно » » Номер 5.27 - Решебник по алгебре 8 класс Мордкович