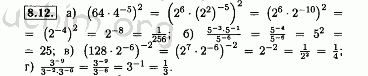
Номер 8.12 - Решебник по алгебре 8 класс Мордкович
Вы открыли задание номер 8.12 из решебника на uchim.org.
Другие номера:
← 7.27 7.28 7.29 7.30 7.31 7.32 7.33 7.34 7.35 7.36 7.37 7.38 7.39 7.40 8.1 8.2 8.3 8.4 8.5 8.6 8.7 8.8 8.9 8.10 8.11 8.12 8.13 8.14 8.15 8.16 8.17 8.18 8.19 8.20 8.21 8.22 8.23 8.24 8.25 8.26 8.27 8.28 8.29 8.30 8.31 8.32 Вариант №1 Вариант №2 9.1 9.2 9.3 →
(кликните по решению, если нужно изменить размер)

Введите номер задания:
Всё для учебы » ГДЗ бесплатно » » Номер 8.12 - Решебник по алгебре 8 класс Мордкович