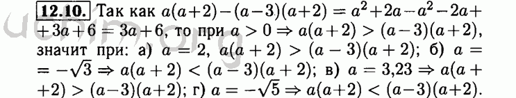
Номер 12.10 - Решебник по алгебре 8 класс Мордкович
Вы открыли задание номер 12.10 из решебника на uchim.org.
Другие номера:
← 11.2 11.3 11.4 11.5 11.6 11.7 11.8 11.9 11.10 11.11 11.12 11.13 11.14 11.15 11.16 11.17 12.1 12.2 12.3 12.4 12.5 12.6 12.7 12.8 12.9 12.10 12.11 12.12 12.13 12.14 12.15 12.16 12.17 12.18 12.19 12.20 12.21 12.22 13.1 13.2 13.3 13.4 13.5 13.6 13.7 13.8 13.9 13.10 13.11 13.12 13.13 →
(кликните по решению, если нужно изменить размер)

Открыть номер 12.10 с телефона
Введите номер задания:
Всё для учебы » ГДЗ бесплатно » » Номер 12.10 - Решебник по алгебре 8 класс Мордкович