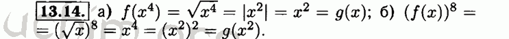
Номер 13.14 - Решебник по алгебре 8 класс Мордкович
Вы открыли задание номер 13.14 из решебника на uchim.org.
Другие номера:
← 12.11 12.12 12.13 12.14 12.15 12.16 12.17 12.18 12.19 12.20 12.21 12.22 13.1 13.2 13.3 13.4 13.5 13.6 13.7 13.8 13.9 13.10 13.11 13.12 13.13 13.14 13.15 13.16 13.17 13.18 13.19 13.20 13.21 13.22 13.23 13.24 13.25 13.26 13.27 13.28 13.29 13.30 13.31 13.32 14.1 14.2 14.3 14.4 14.5 14.6 14.7 →
(кликните по решению, если нужно изменить размер)

Открыть номер 13.14 с телефона
Введите номер задания:
Всё для учебы » ГДЗ бесплатно » » Номер 13.14 - Решебник по алгебре 8 класс Мордкович