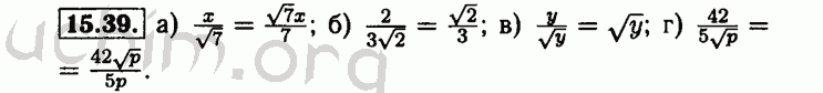
Номер 15.39 - Решебник по алгебре 8 класс Мордкович
Вы открыли задание номер 15.39 из решебника на uchim.org.
Другие номера:
← 15.14 15.15 15.16 15.17 15.18 15.19 15.20 15.21 15.22 15.23 15.24 15.25 15.26 15.27 15.28 15.29 15.30 15.31 15.32 15.33 15.34 15.35 15.36 15.37 15.38 15.39 15.40 15.41 15.42 15.43 15.44 15.45 15.46 15.47 15.48 15.49 15.50 15.51 15.52 15.53 15.54 15.55 15.56 15.57 15.58 15.59 15.60 15.61 15.62 15.63 15.64 →
(кликните по решению, если нужно изменить размер)

Открыть номер 15.39 с телефона
Введите номер задания:
Всё для учебы » ГДЗ бесплатно » » Номер 15.39 - Решебник по алгебре 8 класс Мордкович