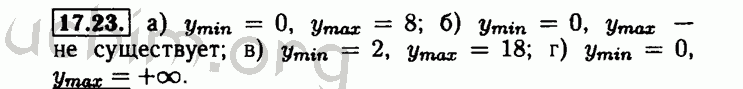
Номер 17.23 - Решебник по алгебре 8 класс Мордкович
Вы открыли задание номер 17.23 из решебника на uchim.org.
Другие номера:
← 16.44 д.к.2-в 1 д.к.2-в 2 17.1 17.2 17.3 17.4 17.5 17.6 17.7 17.8 17.9 17.10 17.11 17.12 17.13 17.14 17.15 17.16 17.17 17.18 17.19 17.20 17.21 17.22 17.23 17.24 17.25 17.26 17.27 17.28 17.29 17.30 17.31 17.32 17.33 17.34 17.35 17.36 17.37 17.38 17.39 17.40 17.41 17.42 17.43 17.44 17.45 17.46 17.47 17.48 →
(кликните по решению, если нужно изменить размер)

Открыть номер 17.23 с телефона
Введите номер задания:
Всё для учебы » ГДЗ бесплатно » » Номер 17.23 - Решебник по алгебре 8 класс Мордкович