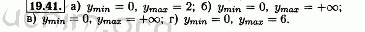
Номер 19.41 - Решебник по алгебре 8 класс Мордкович
Вы открыли задание номер 19.41 из решебника на uchim.org.
Другие номера:
← 19.16 19.17 19.18 19.19 19.20 19.21 19.22 19.23 19.24 19.25 19.26 19.27 19.28 19.29 19.30 19.31 19.32 19.33 19.34 19.35 19.36 19.37 19.38 19.39 19.40 19.41 19.42 19.43 19.44 19.45 19.46 19.47 19.48 19.49 19.50 19.51 19.52 19.53 19.54 19.55 19.56 19.57 19.58 20.1 20.2 20.3 20.4 20.5 20.6 20.7 20.8 →
(кликните по решению, если нужно изменить размер)

Открыть номер 19.41 с телефона
Введите номер задания:
Всё для учебы » ГДЗ бесплатно » » Номер 19.41 - Решебник по алгебре 8 класс Мордкович