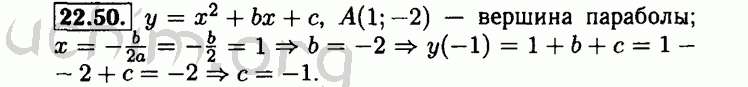
Номер 22.50 - Решебник по алгебре 8 класс Мордкович
Вы открыли задание номер 22.50 из решебника на uchim.org.
Другие номера:
← 22.25 22.26 22.27 22.28 22.29 22.30 22.31 22.32 22.33 22.34 22.35 22.36 22.37 22.38 22.39 22.40 22.41 22.42 22.43 22.44 22.45 22.46 22.47 22.48 22.49 22.50 22.51 22.52 22.53 22.54 22.55 23.1 23.2 23.3 23.4 23.5 23.6 23.7 23.8 23.9 23.10 23.11 23.12 23.13 23.14 23.15 23.16 23.17 23.18 23.19 23.20 →
(кликните по решению, если нужно изменить размер)

Открыть номер 22.50 с телефона
Введите номер задания:
Всё для учебы » ГДЗ бесплатно » » Номер 22.50 - Решебник по алгебре 8 класс Мордкович