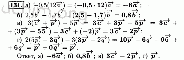
Номер 131 - Решебник по геометрии 7-9 класс Атанасян
Вы открыли задание номер 131 из решебника на uchim.org.
Другие номера:
← 106 107 108 109 110 111 112 113 114 115 116 117 118 119 120 121 122 123 124 125 126 127 128 129 130 131 132 133 134 135 136 137 911 912 913 914 915 916 917 918 919 920 921 922 923 924 925 926 927 928 929 →
(кликните по решению, если нужно изменить размер)

Введите номер задания:
Всё для учебы » ГДЗ бесплатно » » Номер 131 - Решебник по геометрии 7-9 класс Атанасян