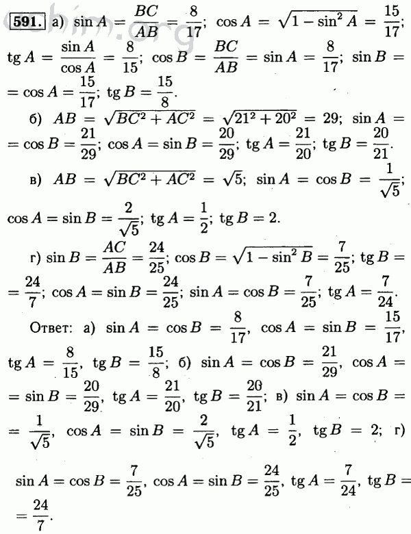
Номер 591 - Решебник по геометрии 7-9 класс Атанасян
Вы открыли задание номер 591 из решебника на uchim.org.
Другие номера:
← 564 565 566 567 568 569 570 571 572 573 574 575 576 577 579 580 581 582 583 585 586 587 588 589 590 591 592 593 594 595 596 597 598 599 600 601 602 603 604 605 606 607 608 609 610 611 612 613 614 615 616 →
(кликните по решению, если нужно изменить размер)

Введите номер задания:
Всё для учебы » ГДЗ бесплатно » » Номер 591 - Решебник по геометрии 7-9 класс Атанасян