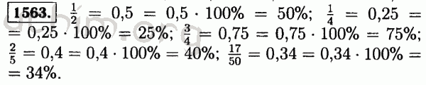
Номер 1563 - Решебник по математике 5 класс Виленкин
Вы открыли задание номер 1563 из решебника на uchim.org.
Другие номера:
← 1536 1538 1539 1540 1542 1543 1544 1545 1546 1547 1548 1549 1550 1551 1552 1553 1554 1555 1556 1557 1558 1559 1560 1561 1562 1563 1564 1565 1566 1567 1568 1569 1570 1571 1572 1573 1574 1575 1576 1577 1578 1579 1580 1581 1582 1583 1584 1585 1586 1587 1588 →
(кликните по решению, если нужно изменить размер)

Введите номер задания:
Всё для учебы » ГДЗ бесплатно » » Номер 1563 - Решебник по математике 5 класс Виленкин