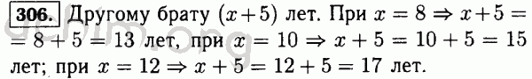
Номер 306 - Решебник по математике 5 класс Виленкин
Вы открыли задание номер 306 из решебника на uchim.org.
Другие номера:
← 281 282 283 284 285 286 287 288 289 290 291 292 293 294 295 296 297 298 299 300 301 302 303 304 305 306 307 308 309 310 311 312 313 314 315 316 317 318 319 320 321 322 323 324 325 326 327 328 329 330 331 →
(кликните по решению, если нужно изменить размер)

Введите номер задания:
Всё для учебы » ГДЗ бесплатно » » Номер 306 - Решебник по математике 5 класс Виленкин