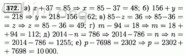
Номер 372 - Решебник по математике 5 класс Виленкин
Вы открыли задание номер 372 из решебника на uchim.org.
Другие номера:
← 347 348 349 350 351 352 353 354 355 356 357 358 359 360 361 362 363 364 365 366 367 368 369 370 371 372 373 374 375 376 377 378 379 380 381 382 383 384 385 386 387 388 389 390 391 392 393 394 395 396 397 →
(кликните по решению, если нужно изменить размер)

Введите номер задания:
Всё для учебы » ГДЗ бесплатно » » Номер 372 - Решебник по математике 5 класс Виленкин