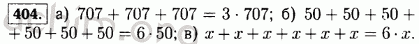
Номер 404 - Решебник по математике 5 класс Виленкин
Вы открыли задание номер 404 из решебника на uchim.org.
Другие номера:
← 379 380 381 382 383 384 385 386 387 388 389 390 391 392 393 394 395 396 397 398 399 400 401 402 403 404 405 406 407 408 409 410 411 412 413 414 415 416 417 418 419 420 421 422 423 424 425 426 427 428 429 →
(кликните по решению, если нужно изменить размер)

Введите номер задания:
Всё для учебы » ГДЗ бесплатно » » Номер 404 - Решебник по математике 5 класс Виленкин