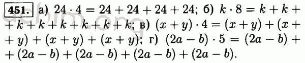
Номер 451 - Решебник по математике 5 класс Виленкин
Вы открыли задание номер 451 из решебника на uchim.org.
Другие номера:
← 426 427 428 429 430 431 432 433 434 435 436 437 438 439 440 441 442 443 444 445 446 447 448 449 450 451 452 453 454 455 456 457 458 459 460 461 462 463 464 465 466 467 468 469 470 471 472 473 474 475 477 →
(кликните по решению, если нужно изменить размер)

Введите номер задания:
Всё для учебы » ГДЗ бесплатно » » Номер 451 - Решебник по математике 5 класс Виленкин