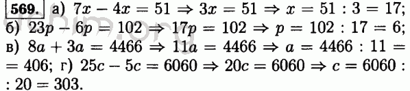
Номер 569 - Решебник по математике 5 класс Виленкин
Вы открыли задание номер 569 из решебника на uchim.org.
Другие номера:
← 544 545 546 547 548 549 550 551 552 553 554 555 556 557 558 559 560 561 562 563 564 565 566 567 568 569 570 571 572 573 574 575 576 577 578 579 580 581 582 583 584 585 586 587 588 589 590 591 592 593 594 →
(кликните по решению, если нужно изменить размер)

Введите номер задания:
Всё для учебы » ГДЗ бесплатно » » Номер 569 - Решебник по математике 5 класс Виленкин