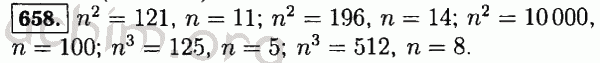
Номер 658 - Решебник по математике 5 класс Виленкин
Вы открыли задание номер 658 из решебника на uchim.org.
Другие номера:
← 633 634 635 636 637 638 639 640 641 642 643 644 645 646 647 648 649 650 651 652 653 654 655 656 657 658 659 660 661 662 663 664 665 666 667 668 669 670 671 672 673 674 675 676 677 678 679 680 681 682 683 →
(кликните по решению, если нужно изменить размер)

Введите номер задания:
Всё для учебы » ГДЗ бесплатно » » Номер 658 - Решебник по математике 5 класс Виленкин